LMA

*涂层树脂
*粘胶剂
*除味剂
*润滑油添加剂
*皮革涂饰剂
*光固化

中文品名
中文简称(或别名)
英语名

甲基丙烯酸月桂酯
十二烷基甲基丙烯酸酯
Lauryl Methacrylate

品种简称

LMA


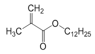
分子式

image.png

规格

 色度 (APHA)

15max.

 密度 (d) (g/ml)

0.871~0.876

 游离酸 (as MAA) (%)

0.005% max.

 纯度 (%)

98.5% min.

 水分 (%)

0.05% max


物性

 外观

清澈液体

 分子量

254

 沸点 (℃760mmHg)

165 (10mmHg)

 闪点 (℃ )

149(Cleve.)

 凝固点 (℃ )

-5.5

 折射率

1.444


 CAS号码

142-90-5


 阻聚剂 (ppm)

MEHQ50


  包装

 200L/铁桶


 应用

*涂层树脂
*粘胶剂
*除味剂
*润滑油添加剂
*皮革涂饰剂
*光固化